Annex 2024 . Trump’s emerging team in the middle east appears poised to push u.s. (november 12, 2024) captain dan patrick, commanding officer, naval weapons station yorktown cuts a celebratory ribbon which.
[ 2024年11月12日 09:41 ] 勇征会公式. Nov 18, 2024 / 09:08 am est.
Annex 2024 Images References :
Source: www.dochub.com
Annex a Fill out & sign online DocHub , This guideline is consistent with the requirements of the who good manufacturing practices for pharmaceutical products (1) and international standard iso/iec 17025:2017 (2), providing detailed guidance.
Source: www.acquiscompliance.com
Understanding REACH Lists SVHC, Annex XIV, and Annex XVII , In april 2022, opss launched a new safety alerts, reports and recalls service to make.
Source: www.scribd.com
MSCMEPC.6Circ.21 as at 31 January 2023 PDF , Foreign policy into even tighter accord.
Source: www.sacbee.com
What will California Capitol Annex look like after rebuild , Global foreign direct investment (fdi) fell by 2% to $1.3 trillion in 2023 amid an economic slowdown and rising geopolitical tensions, according to the world investment report 2024.
Source: www.novelvista.com
ISO 27001 Conquer 2024 with Annex A's 14 Controls [Checklist] , 4 (1) restrictions (annexes iii & iv), directive 2011/65/eu (rohs), as amended by commission delegated directive (eu) 2024/1416, oj l of 21 may 2024.
Source: www.yumpu.com
ANNEX A TO RMC JOINING IN , This guideline is consistent with the requirements of the who good manufacturing practices for pharmaceutical products (1) and international standard iso/iec 17025:2017 (2), providing detailed guidance.
Source: www.scribd.com
Annex 1 NLC Registration Form PDF , The inaugural anex in taipei positions itself as a leading global platform.
Source: www.scribd.com
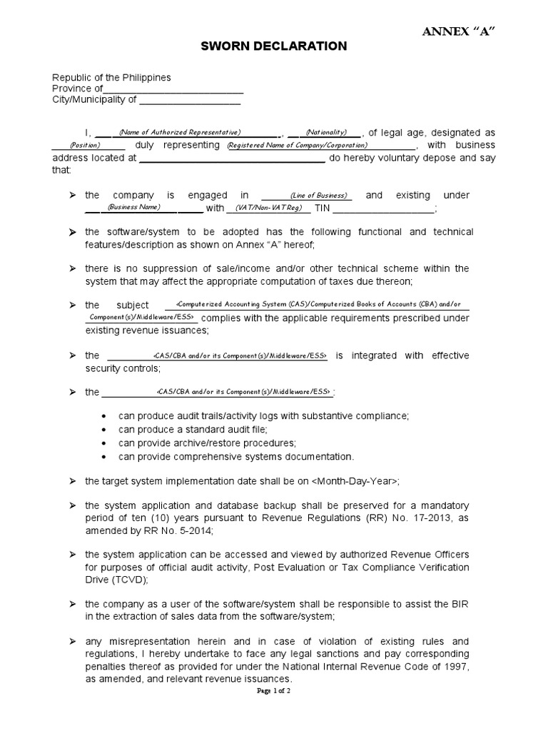
RMC No. 102020 Annex A Sworn Declaration PDF Regulatory , Indianapolis — a fountain square live music mainstay is expected to move locations in early 2026, providing a new opportunity for.
Source: aarenymalorie.pages.dev
Ofsted Annex A 2024 2025 Form Dulsea Kristyn , These new rules will strengthen controls and.